Notice
Recent Posts
Recent Comments
Link
반응형
| 일 | 월 | 화 | 수 | 목 | 금 | 토 |
|---|---|---|---|---|---|---|
| 1 | 2 | 3 | ||||
| 4 | 5 | 6 | 7 | 8 | 9 | 10 |
| 11 | 12 | 13 | 14 | 15 | 16 | 17 |
| 18 | 19 | 20 | 21 | 22 | 23 | 24 |
| 25 | 26 | 27 | 28 | 29 | 30 | 31 |
Tags
- 멱등
- 지도학습
- rest api
- 백준
- 파이썬 알고리즘
- 코테
- 코딩
- bineary search
- 오버라이딩
- 프로그래머스
- HTTP
- 파이썬 오류
- 비지도학습
- Merge sort
- 캐싱
- 스택과 힙
- 너비우선탐색
- 코딩테스트
- 깊이우선탐색
- 해시
- 강화학습
- 머신러닝
- 자바
- 딥러닝
- BOJ
- 파이썬
- 알고리즘
- 이진탐색
- post
- 딕셔너리
Archives
- Today
- Total
chae._.chae
[Algorithm] 백준 DP #11053 가장 긴 증가하는 부분 수열 본문
728x90
반응형
https://www.acmicpc.net/problem/11053
11053번: 가장 긴 증가하는 부분 수열
수열 A가 주어졌을 때, 가장 긴 증가하는 부분 수열을 구하는 프로그램을 작성하시오. 예를 들어, 수열 A = {10, 20, 10, 30, 20, 50} 인 경우에 가장 긴 증가하는 부분 수열은 A = {10, 20, 10, 30, 20, 50} 이
www.acmicpc.net
import sys
input = sys.stdin.readline
N = int(input())
A = list(map(int, input().split()))
dp = [1] * 10001
for i in range(N):
for j in range(i):
if A[i] > A[j]]:
dp[i] = max(dp[i], dp[j]+1)
print(max(dp))
시간복잡도 : O(n^2)
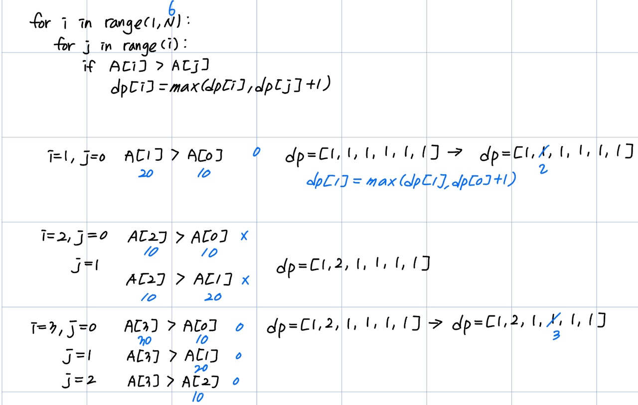
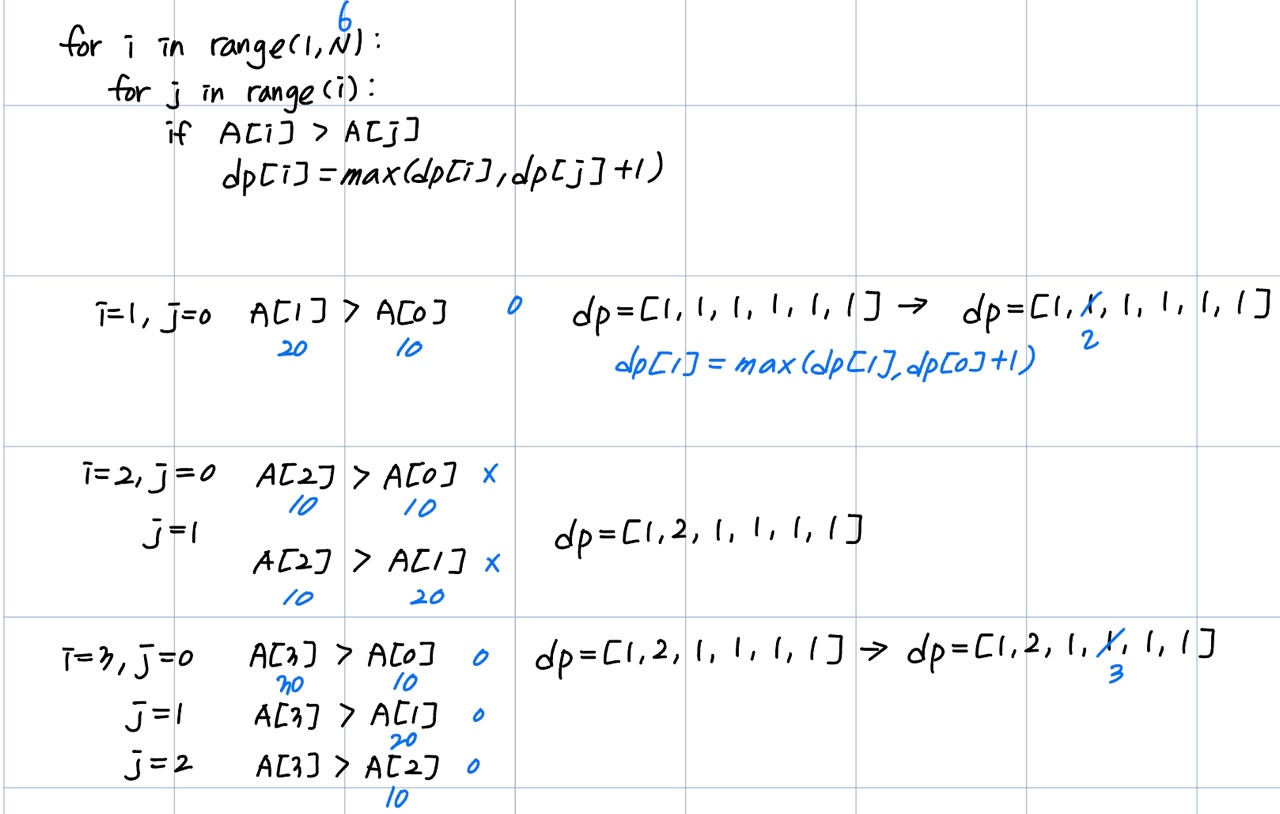
🔎 풀이 방법 설명

dp[i] : A[i]를 마지막 값으로 가지는 가장 긴 증가하는 수열의 길이
이중 for문을 돌면서 A의 값을 비교하며 i번째 값과 그 이전 인덱스의 숫자들의 크기를 비교한다.
- i=3 인 경우
- A[3] > A[j] 라면 dp[3]의 값을 업데이트 시켜준다.
- 현재 dp[3]의 값과 dp[0]+1, dp[1]+1, dp[2]+1 의 값 중 최댓값을 dp[3]에 넣어준다. (이전까지의 숫자들 중 max를 찾고, +1을 한 값을 넣어준다)
728x90
'파이썬 알고리즘 > BOJ' 카테고리의 다른 글
| [Algorithm] 백준 #20125 쿠키의 신체 측정 (0) | 2024.07.07 |
|---|---|
| [Algorithm] 백준 #10816 숫자 카드 2 (0) | 2024.06.18 |
| [Algorithm] 백준 #2178 미로탐색 (0) | 2023.06.25 |
| [Algorithm] 백준 #2110 공유기 설치 (0) | 2023.06.25 |
| [Algorithm] 백준 #1541 잃어버린 괄호 (0) | 2023.06.18 |